728x90
반응형

SCHD 3

[체계적으로 부자되기 3] 10억원 달성 수익률 & 리스크 고려한 현실적인 투자 전략

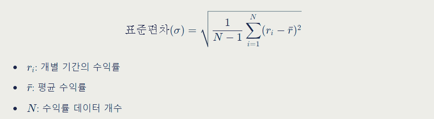
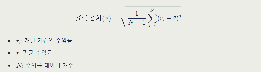
위험이란? 주식 투자에서는 자산 가치가 변동함으로써 발생하는 손실 가능성을 포함합니다. 변동성(Volatility)은 이러한 위험을 수치화한 개념으로, 자산 가격이나 수익률이 시간에 따라 얼마나 크게 변화하는지를 나타냅니다. 변동성은 위험을 평가할 때 가장 일반적으로 사용되는 척도이며, 변동성이 클수록 해당 자산의 위험 수준이 높다고 간주됩니다. 변동성이란?  변동성은 주가 또는 수익률이 평균 값에서 얼마나 벗어나는지를 측정하는 지표입니다.표준편차로 계산되며, 자산의 수익률이 시간이 지남에 따라 얼마나 넓게 퍼져 있는지를 보여줍니다.   변동성 측정 지표들 표준편차, 베타, 최대 낙폭(MDD), VaR(Value at Risk), 샤프 비율(Sharpe Ratio) 등이 존재합니다. 수익률은 높이고 리스..

주식 2024.12.02

[포트폴리오로 부자되기 2] Modern Portfolio Theory

Modern Portfolio Theory 1952년 해리 마코위츠가 발표한 재무관리 이론은 여러 자산을 조합해 투자하면 동일한 수익률을 유지하면서도 리스크를 효과적으로 줄일 수 있다는 포트폴리오 이론을 제시했습니다. 일반적으로 높은 수익을 기대하려면 높은 리스크를 감수해야 하고, 낮은 리스크를 원하면 낮은 수익만 얻을 수 있다는 개념을 뒤틀어 놓은 것이죠. 위험의 정의와 포트폴리오 구성의 효과 위험은 수익률의 변동성(표준편차)으로 정의됩니다. 수익률이 평균에서 크게 벗어날수록, 즉 표준편차가 클수록 위험이 크다고 할 수 있습니다. 하지만 서로 상관관계가 낮거나 음의 상관관계를 가진 자산을 조합하면, 개별 자산의 위험(표준편차)이 높더라도 포트폴리오 전체의 위험은 감소할 수 있습니다. 아래는 두 주식을 ..

주식 2024.11.25

[ETF로 부자되기6] SCHD (슈드) ETF란?

SCHD(슈왑 미국 배당 주식 ETF)는 2023년 기준 국내 투자자 순매수 미국 주식 1위기도 합니다. 정기적인 배당 수익을 원하는 투자자들에게 매우 인기 있는 ETF입니다. 저 역시 투자해보고자 SCHD에 대해서 정리해보았는데요, 이 글에서는 SCHD에 투자할 때 알아야 할 주요사항들에 대해서 정리 하도록 하겠습니다.1. SCHD란 무엇인가?SCHD는 찰스 슈왑에서 제공하는 미국 배당 주식 ETF로 장기간 배당금을 지급해 온 기업 중 기대 수익률이 높은 100개 기업을 선별하여 투자합니다. SCHD의 10년간 연평균 수익률은 약 11%수준으로 상당히 높은 편입니다. 2024년 10월에 3:1 주식 분할을 진행하였고, 유통 주식 수가 늘었습니다. 2024년 11월 7일기준 기준운용보수는 0.060% 수..

주식 2024.11.08
728x90
반응형